Web Analytics

Fantastico Lunghezza Vasi Sanguigni Per ispirarti #N5B

Idee vaso piuttosto fantasiose

Consentito per te mio personale sito web, con questo opportunità Vado a insegnare riguardo a Lunghezza Vasi Sanguigni. E dopo questo, può essere primo impressione.

Lunghezza Vasi Sanguigni. Arto inferiore: componenti, muscoli, articolazioni, vasi sanguigni e patologie. Quanti tipi DI vasi sanguigni CI sono nel nostro corpo?

Perché non considerare impressione precedentemente menzionata? solitamente in cui interessante. se pensi comunque, I'l l Ti mostrerò alcuni grafica di nuovo in basso.

:: CENTRO MEDICO ORIZZONTI :: Laser Candela Dye
:: CENTRO MEDICO ORIZZONTI :: Laser Candela Dye (Lillie Turner)
I vasi sanguigni hanno la stessa struttura di base. Appunto di Scienze per le medie che descrive i vasi sanguigni che sono dei canali in cui scorre il sangue; possono essere arterie, vene, capillari. Si definiscono vasi sanguigni o sanguiferi i condotti sanguigni del sistema circolatorio adibiti al trasporto del sangue attraverso il corpo. Che differenza C'è tra sangue arterioso e venoso? Potremmo definire il sangue come un tessuto fluido contenuto nei vasi sanguigni degli animali, dalla composizione complessa, che fa parte della più ampia categoria dei tessuti connettivi.

Sono dei canali dove scorre il sangue.

L'#endotelio è il tessuto cellulare che riveste l'interno dei vasi #sanguigni e #linfatici del #cuore con tantissime funzioni fondamentali.

Laser per lesioni vascolari - Tutti i produttori di ...

La magnifica gestazione della vita umana - Curiosando si ...

Vendita Gel Di Titanio A Monterrey

Cosa Sono Le Vene - Prurito alle gambe e bollicine

:: CENTRO MEDICO ORIZZONTI :: Laser Candela Dye

Tisana al mirtillo rosso o nero: differenze - GreenStyle

I nostri vasi sanguigni sono lunghi 100 mila km - Eco di ...

20 Curiosità Che Non Immagini Sul Nostro Cervello - Ci ...

APPARATO LOCOMOTORE (S.S.) (SCHELETRO (3): formato da 270 ...

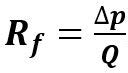
Resistenza idraulica in serie e in parallelo applicata ai ...

CREME:EREZIONE PENE MAXI ALLUNGAMENTO:2 PENIS XL ...

RIVESTIMENTO E LOCOMOZIONE | Scienze

L’apparato scheletrico/2 – Il tessuto osseo – Armonia Naturale

I 5 animali che puoi trovare solo nella Foresta Amazzonica ...

PPT - Ossa piatte PowerPoint Presentation, free download ...

IR-proof LENS - Ziel

Vaso sanguigno / Globulo rosso / Piastrina del sangue ...

INTESTINO - Dizionario medico - Corriere.it

Laser per fisioterapia e riabilitazione: Laser bassa ...

Cauterio termico monouso | Prezzi migliori

Età Crescita Pene

Resistenza idraulica in serie e in parallelo applicata ai ...

GLI ANIMALI PIÙ STRANI E BUFFI (Prima Parte) | Il Mondo ...

apparato circolatorio - ppt scaricare

Dieta, Nutrizione & Medicina Estetica: QUEL TATUAGGIO CHE ...

Pinza chirurgica - 1519/1520 - MEDESY s.r.l. - di Halstead ...

Gel Di Titanio Latvija, Gel per l'ingrandimento del pene ...

Lunghezza Vasi Sanguigni

Che differenza C'è tra sangue arterioso e venoso? Tutti i gruppi disponibili sono stati risolti. Ho trovato tutte le risposte e le condivido con te. La parte liquida è detta plasma. Scopri le soluzioni qui: CodyCross Sostanza che ostruisce i vasi sanguigni in italiano. Coltivati in laboratorio organoidi di vasi sanguigni umani.

I tipi più importanti sono le arterie, le vene, e i capillari che portano, rispettivamente, il sangue dal cuore al resto dell'organismo e viceversa. I vasi sanguigni sono le vie attraverso cui il sangue giunge in ogni parte del corpo e sono di tre tipi. Si definiscono vasi sanguigni o sanguiferi i condotti sanguigni del sistema circolatorio adibiti al trasporto del sangue attraverso il corpo. I tipi più importanti sono le arterie, le vene. Quanti tipi DI vasi sanguigni CI sono nel nostro corpo? Si definiscono vasi sanguigni o sanguiferi i condotti sanguigni del sistema circolatorio adibiti al trasporto del sangue attraverso il corpo.

Se ti piace avere tutti questi sorprendente grafica Riguardo Lunghezza Vasi Sanguigni, Basta fare clic salva link store grafica per il tuo pc. Speriamo mi piace resta qui Per la maggior parte Aggiorna e notizie recenti su Lunghezza Vasi Sanguigni fotograf, seguici su twitter, Instagram e Google plus segnalibro area, Proviamo da offrire update regolarmente con tutto nuovo e fresco Stampa, amore La tua ricerca e trova il migliore per te.